صفحه بتا
صفحه بتا دومین حالت برای ساختار دوم پروتئینها است که از تعدادی رشتههای بتا که بهطور جانبی به وسیله ۳ یا تعداد بیشتری پیوند هیدروژنی به هم وصل شدهاند تشکیل شدهاست. عموماً این صفحات حالتی تابیده و چیندار دارند. متداولترین شکل ساختار دوم پروتئین پیچه آلفا است.

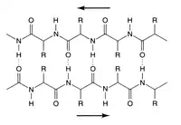
شکلی از صفحه چیندار بتا به همراه پیوندهای هیدروژنی بین رشتههای پروتئین
ساختار و آرایش
ژئومتری

مثالی از آرایش زنجیرههای جانبی در صفحات بتا
بیشتر رشتههای بتا در مجاورت رشتههای بتای دیگر قرار میگیرند و یک شبکه وسیع پیوند هیدروژنی با همسایگانشان تشکیل میدهند که در این شبکه گروههای آمین در زنجیره اصلی یک رشته با گروههای کربونیل زنجیره اصلی رشتههای مجاور پیوندهای هیدروژنی تشکیل میدهند. در یک رشته بتای کاملاً باز، زنجیرههای جانبی پی در پی، ابتدا به سمت بالا، سپس پایین، دوباره بالا قرار میگیرند.
منابع
- آلبرت لنینگر، مایکل کاکس، دیویدلی نلسون (۱۳۸۵)، اصول بیوشیمی لنینجر، ترجمهٔ رضا محمدی، آییژ، شابک ۹۶۴-۸۳۹۷-۰۵-۸
- مشارکتکنندگان ویکیپدیا. «Beta sheet». در دانشنامهٔ ویکیپدیای انگلیسی، بازبینیشده در ۹ اکتبر ۲۰۰۸.
This article is issued from Wikipedia. The text is licensed under Creative Commons - Attribution - Sharealike. Additional terms may apply for the media files.