فتالیمید
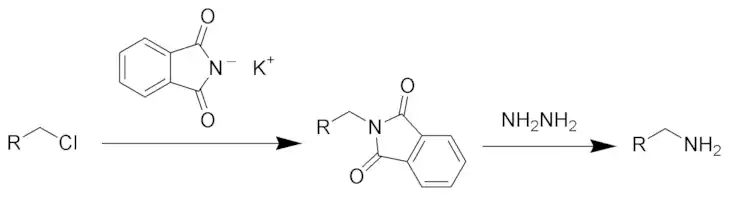
فتالیمید (به انگلیسی: Phthalimide) یک ترکیب شیمیایی با شناسه پابکم ۶۸۰۹ است. شکل ظاهری این ترکیب، جامد سفید است.کاربرد اصلی فتالیمید در تولید گابریل است و فتالیمید از واکنش مواد دارای آمونیاک مانند اوره، آمونیوم کربنات و با گرم کردن آمونیوم هیدروکسید یا خود آن به صورت گازی با فتالیک انیدرید تولید می شود.
| Phthalimide | |
|---|---|
![]() | |
![]() | |
Isoindole-13-dione | |
دیگر نامها Phthalimide | |
| شناساگرها | |
| شماره ثبت سیایاس | 85-41-6 |
| پابکم | 6809 |
| کماسپایدر | 6550 |
| ChEBI | CHEBI:38817 |
| ChEMBL | CHEMBL277294 |
| جیمول-تصاویر سه بعدی | Image 1 |
SMILES
| |
| |
| خصوصیات[1] | |
| فرمول مولکولی | C8H5NO2 |
| جرم مولی | ۱۴۷٫۱۳ g mol−1 |
| شکل ظاهری | White solid |
| دمای ذوب | ۲۳۸ درجه سلسیوس (۴۶۰ درجه فارنهایت؛ ۵۱۱ کلوین) |
| دمای جوش | ۳۳۶ درجه سلسیوس (۶۳۷ درجه فارنهایت؛ ۶۰۹ کلوین) |
| انحلالپذیری در آب | <0.1 g/100 ml (19.5 °C) |
| اسیدی (pKa) | 8.3 |
| خاصیت بازی (pKb) | 5.7 |
| ترکیبات مرتبط | |
| مرتبط با آمید | مالیمید |
| ترکیبات مرتبط | فتالیک انیدرید |
| به استثنای جایی که اشاره شدهاست در غیر این صورت، دادهها برای مواد به وضعیت استانداردشان داده شدهاند (در 25 °C (۷۷ °F)، ۱۰۰ kPa) | |
| | |
| Infobox references | |
|
| |
از این ماده در تولید مواد شیمیایی دیگر از جمله ساخارین و آنتراآنیلیک اسید (۲- آمینوبنزوییک اسید) و تالیدومید استفاده می شود.
تولید
از واکنش مواد دارای آمونیاک مانند اوره، آمونیوم کربنات و با گرم کردن آمونیوم هیدروکسید یا خود آن به صورت گازی با فتالیک انیدرید تولید می شود.
جستارهای وابسته
منابع
- "Phthalimide". Chemicalland21. Retrieved 15 November 2011.
ویکی پدیای انگلیسی
- «IUPAC GOLD BOOK». دریافتشده در ۱۸ مارس ۲۰۱۲.


