مثلث خیام-پاسکال
مثلث خیام-پاسکال به آرایش مثلثشکل ضرایب بسط دوجملهای گویند.

نامگذاری و پیشینه
«مثلث خیام-پاسکال» را گاه بهندرت «مثلث خیام-پاسکال-نیوتن» نیز میگویند. این مثلث توسط دانشمندان گوناگونی از هند و ایران و چین و غیره و بعدتر در اروپا بررسی شدهاست و در زبانهای گوناگون نامهای مختلفی دارد. در زبان انگلیسی «مثلث پاسکال»، ایتالیایی «مثلث تارتالیا» و در زبان چینی «مثلث یانگ هویی» نام گرفتهاست. در آثار متون سانسکریتِ پینگالا ریاضیدان هندی نشانههایی از استفاده از این بسط دیده میشود. در همان دوران عمر خیام ریاضیدان ایرانی ادعای کشف روشی جبری برای به دست آوردن ضرایب بسط دوجملهای میکند. کتاب مشکلات الحساب، کتابی که اثباتهای این ادعا در آن آمده هنوز کشف نشده ولی در آثار طوسی تأثیر گرفته از او ضرایب را تا توان ۱۲ میتوان دید.[2] بعد از او در قرن ۱۲ میلادی در آثار یانگ هویی ریاضیدان چینی، شکل مثلث به چشم میخورد. در قرن ۱۶ میلادی ریاضیدان ایتالیایی تارتالیا هم از خود این مثلث را به جا گذاشته و پس از یک قرن پاسکال ریاضیدان فرانسوی هم دوره با نیوتون روی این بسط و مثلث حسابی آن کار کرد.
توضیح
مثلث خیام، مثلث پاسکال، مثلث تارتالیا یا مثلث خیام - پاسکال به آرایش مثلثی شکل ضرایب بسط دو جمله ای گفته میشود.
خواص مثلث خیام-پاسکال
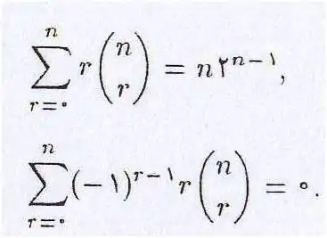
برای مطالعهٔ خواص جملههای مثلث کافی هست از تعریف استفاده کنیم

دنبالههای ویژه در داخل مثلث خیام-پاسکال
- دنباله توان ۲:
دنباله توان ۲ به صورت زیر میباشد
الگوی جالبی در داخل مثلث پاسکال برای محاسبه توان ۲ وجود دارد:
جمع عناصر هر سطر به ترتیب توان ۲ ایجاد میکند با توجه به رابطه (۳٫۳)اگر:
اگر a=۱وb=-۱به رابطهٔ زیر میرسیم:
در رابطه اخیر اگر n=۰قرارداد ۱=۰۰ با مشتقگیری از طرفین از طرفین رابطهٔ (۳٫۳)برای a=xوb=۱داریم
حال اگر x=۱یا x=-۱باشد

با مشتق گرفتن از مراتب بالاتر از رابطهٔ (۴٫۳)به روابط دیگری دست مییابیم با تعویض عمل مشتقگیری با روابط دیگری به دست می آید.
##دنبالهٔ توانهای عدد ۱۱:

در حالت کلی اگر جملههای سطر nام مثلث را از راست به چپ از دیدگاه تعداد یکان دهگان … نگاهکنیم وبدین طریق عدد Nnرابسازیم طبق اتحاد دو جملهای خیام عدد Nnتوانی از ۱۱ است

مثلاً:

در مورد سطر ۷ام دقت کنید. الگوی زیر رعایت شده.

دنبالهٔ اعداد مصور
در مثلث پاسکال قطر از اعداد طبیعی، قطر ۲ از اعداد مثلثی وقطر۳ از اعداد ۴وجهی تشکیل شدهاند.

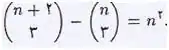
با نگاه به قطرهای مثلث ملاحظه میشود که هر عدد مثلثی مجموع چند عدد طبیعی وهر عدد ۴ وجهی مجموع چند عدد مثلثی است. بهطور کلی میتوان گفت که قطر kام از اعداد مصور kبعدی تشکیل شدهاند که به صورت (c(n,kمیباشد. در ضمن داریم:
دنبالهٔ فیبوناتچی
اگر قطرها را با شیب بیشتر انتخاب کنیم. داریم:

مجموعه اعداد روی قطرها دنبالهٔ :
… و۱۳و۸و۵و۳و۱و۱
تشکیل میدهد. در این دنباله جمله اول ودوم ۱ است بقیه جملات جمع دو جمله قبلی اش میشوند
F1=F2=1 Fn+۲=Fn+1+Fn
اثبات این خاصیت به وسیله مثلث به راحتی قابل مشاهده است. اگرشیب قطرهای فیبوناچی را بیشتر کنیم. به تعمیمی از این دنباله دست خواهیم یافت

اگر ان را با Gn نمایش دهیم داریم
G1=G2=G3=1 Gn+۲=Gn+1+Gn-1
تعمیمهای مختلف از دنباله فیبوناچی داریم.
دنبالهٔ (c(2n,n
دنباله واقع بر عمود منصف مثلث را به صورت زیر در نظر میگیریم… و۲۵۲و۷۰و۲۰و۶و۲و۱
تعمیم دنباله بالا به صورت زیر است:
به عبارت دیگر مجموع مربعات جملههای سطر nام برابر است با رآس تحتانی یک لوزی که این لوزی که این سطر یکی از قطرهای ان میباشد.

ویژگی هندسی فانگ
ایا دو عدددر مثلث پاسکال میتوان یافت که مجموع یا تفاضلشان مربع کامل باشد؟ عناصر واقع در قطر ۳، اعداد مثلثی هستندو نیز مجموع ۲ عدد مثلثی متوالی یک مربع کامل است. اگر Tnنشان دهنده nامین عدد مثلثی باشد. داریم:
Tn+Tn+1=n2
واین نتیجه میدهد.

برای تفریق داریم


ویژگی چوب چوگان
تساوی زیر را در نظر بگیرید.
اگر هر کدام از عناصر دو طرف تساوی را به صورت نقاط هندسی در نظر بگیرید

اگر طول چوب چوگان را kدر نظر بگیریم (رابطه بالا را تعمیم دهید)

ضرب صلیبی
در اینجا مستطیلهایی را به صورت قائم الزاویه و افقی در داخل مثلث خیام در نظر میگیریم. رئوس این مستطیلها که بر روی درایههای این مثلث واقع شدهاند در اینجا رابطهای بر حسب درایههای واقع بر رئوس این مستطیل به دست می آوریم. نکته جالب این است که با لغزاندن مستطیل به نحوی که نقطهٔ cدر طول قطر (در امتداد پیکان) جابهجا شود
همواره نسبت (a*d)/(c*b)یک مقدار ثابت خواهد بود
ستارهٔ داود
در خاصیت ضرب صلیبی اگر به جای مستطیلها یک ستاره به صورت زیر در نظر بگیریم به قسمتی که رئوس ان بر درایههای
مثلث خیام قرار گیرند. به تساوی زیر میرسیم:
در مرکز این ستاره عنصرقرار دارد
مثلث خیام–پاسکال و مثلث سرپینسکی
حال با این توضیح مختصر در مورد برخالها برمیگردیم به «مثلث خیام – پاسکال». در مورد این مثلث زیاد شنیدهایم از جمله در مورد کاربرد فراوانش در نظریهٔ اعداد و ترکیبیات. حال میخواهم یکبرخال ساده را در این مثلث به شما نشان دهم. موضوعی که باعث میشود این مثلث جایی را نیز در دنیای برخالها یعنی سیستمهای دینامیکی پیدا کند. مسئله خیلی ساده است، تمام اعداد زوج را در «مثلث خیام – پاسکال» پاک کنید، آنچه باقی میماند برخالی معروف است با نام «مثلث سرپینسکی»:

پانویس
- مثلث خیام پاسکال تا سطر سیام
- قضیه دو جملهای: مفهومی گسترده در ریاضیات دوران اسلامی (pdf) بایگانیشده در ۲۹ سپتامبر ۲۰۰۷ توسط Wayback Machine نشریه فرهنگ و اندیشه ریاضی، سال ۲۰، شماره پیاپی ۲۶ بایگانیشده در ۲۹ سپتامبر ۲۰۰۷ توسط Wayback Machine متعلق به انجمن ریاضی ایران.
منابع
- محمودیان، حسن (۱۳۸۶)، شگفتیهای مثلث خیام: گذری بر آنالیز ترکیبی، سمنان: امید کومش، شابک ۹۷۸-۹۶۴-۹۰۷۱۲-۶-۸
- جعفری، سیامک (۱۳۸۶)، مثلث خیام - هندسه فرکتال، تهران: جهاد دانشگاهی، واحد صنعتی امیرکبیر، شابک ۹۷۸-۹۶۴-۸۷۳۷-۹۶-۷
- بهبودیان، جواد (۱۳۸۴)، مثلث خیام - پاسکال، تهران: دانشگاه صنعتی شریف، موسسه انتشارات علمی
پیوند به بیرون
| در ویکیانبار پروندههایی دربارهٔ مثلث خیام-پاسکال موجود است. |
- نوشتاری از شیدا شیداییفر در وبگاه سیمرغ (با تلخیص از کتاب سرگذشت ریاضی نوشتهٔ پرویز شهریاری).


_-_morning_-_Nishapur_01.JPG.webp)
