مربع لاتین
مربع لاتین یک آرایهٔ مربعی (ماتریس مربعی) است که در هر سطر و هر ستون آن اعضای مجموعه A بهطور کامل و بدون تکرار قرار داشته باشند.

مثال: در احتمالات ماتریس «متغیر تصادفی دوگانه» (که حاصل جمع هر سطر و ستون آن یک است) یک مربع لاتین است.
حال در مورد مستطیلها و مربعهایی بحث میکنیم که درایههای آن اعداد صحیح و مثبت هستند. یک مستطیل لاتین A با ابعاد p×q عبارت است از : یک ماتریس p × q که هر یک از درایههای آن عضو مجموعه {۳٬۲،1...n} بوده و هیچ عضو تکراری در سطر یا ستون آن به وجود نیاید. در حالت خاص اگر p = q = n آن را مربع لاتین مینامیم. در این صورت هر سطر و هر ستون جایگشتی از مجموعه {۳٬۲،1...n} است.

حال این سؤال را مطرح میکنیم که آیا یک مستطیل لاتین الزاماً بخشی از یک مربع لاتین است؟ مثال: آیا مستطیل لاتین زیر بخشی از یک مربع لاتین ۴×۴ است؟ یا به عبارت دیگر آیا میتوان دو سطر دیگر به این مستطیل لاتین افزود که تبدیل به مربع لاتین ۴×۴ شود؟
بهطور مشابه آیا مستطیل لاتین مقابل بخشی از مربع لاتین ۵×۵ است؟
مستطیل لاتین اول میتواند به مربع لاتین گسترش پیدا میکند. مانند:
میتوان نشان داد که هر مستطیل لاتین p×q با درایههایی از مجموعه {۳٬۲،1...n} را میتوان به مربع لاتین n×n گسترش داد. اما مستطیل دوم قابل گسترش نیست. چون به ستونهای اول و دوم وسوم باید عدد «۲» اضافه شود. چون این سه عدد «۲» باید در دو سطر قرار گیرند پس دو تا از آنها در یک سطر واقع شدهاند؛ بنابراین مربع بدست آمده لاتین نخواهد بود. قبل از این که به بیان قضایای مورد نظر در این بحث بپردازیم، ابتدا به صورت دو قضیه و یک لم کمکی اشاره میکنیم:
قضایای کمکی
۱)قضیه هال (صورت ماتریسی) : ماتریس M یک ماتریس m× n با درایههای صفر و یک است. در این صورت در هر سطر آن یک عدد ۱ وجود دارد و در هیچ ستونی بیش از یک عدد ۱ وجود ندارد اگر و تنها اگر برای هر مجموعه از سطرها (مثلاً r تایی) تعداد ستونهایی که ۱های این سطرها در آنها قرار دارند، حد اقل برابر r باشد.
۲)یک خانواده از مجموعهها به صورت{ S={A1، A2، A3 ،...، An را در نظر میگیریم. مجموعه P را نیز یصورت زیر فرض میکنیم:
P زیر مجموعهٔ A1∪A2∪... ∪An
حال Sدارای یک مجموعه نمایندههای متمایز شامل مجموعه P است اگر و تنها اگر:
الف) S یک مجموعه نمایندههای متمایز داشته باشد.
ب) برای هر
داشته باشیم: ![]()
لم کمکی
لم: فرض کنید L، مستطیل لاتین p × q شامل درایههای {۲٬۱،... ،n} باشد.
اگر
دو عدد صحیح باشند، آنگاه تعداد اعضای مجموعه {۲٬۱،... ،n} که دقیقاً m بار در L آمده و در همهٔ r سطر اول ظاهر شدهاند بیشتر از
نمیباشند.
قضایای اصلی
قضیه۱:هر مستطیل لاتین n×p را میتوان به مربع لاتین n×n گسترش داد
اثبات: فرض کنیم L مستطیل لاتین n×p باشد. برای هر n>i>1 تعریف میکنیم:

یافتن یک سطر اضافی از اعضای مجموعه{۳٬۲،1...n} برای تبدیل L به مستطیل لاتینیp+1)×n) در واقع معادل یافتن یک مجموعهٔ نمایندههای متمایز از خانواده {S={A1،A2،A3،... ،An است. طبق قضیه هال اجتماع هر r تا از این مجموعهها حداقل شامل r عضو متمایز است که n>r>1. قبل از ارائه استدلال به دو نکته اشاره میکنیم.
۱) A1| = |A2| = |A3| = ... = |An| = n - p| چون هر کدام از این مجموعهها شامل عضوهایی از مجموعه {۳٬۲،1...n} است که در ستون p عضوی مربوط به آن نیامدهاند.
۲) به ازای هر n>j>1عدد j در دقیقاً n - p مجموعه از خانواده S وجود دارد. زیرا j در دقیقاً p مکان L ظاهر میشود(p ستون مختلف). پس در n - p ستون وجود ندارد و بنا بر تعریف Aiها درn-p مجموعه مختلف ظاهر میشود.
هر خانواده از مجموعهها مانند S با ویژگیهای مذکور باید یک مجموعه نمایندههای متمایز داشته باشد. r مجموعه از خانواده S را در نظر گرفته و ثابت میکنیم شامل حد اقل r عضو متمایز است. ابتدا همهٔ اعضای r مجموعهٔ مفروز را (با در نظر گرفتن اعضای تکراری) در یک لیست ردیف میکنیم. (r (n – p عضو بدست میآید. از طرفی همانطور که قبلاً گفته شد هر j حد اکثر در n-p مجموعه ظاهر میشود؛ بنابراین اگر اجتماع r مجموعه مفروض شامل کمتر از r عضو متمایز باشد
(یعنی حد اکثر r-1 عضو متمایز داشته باشد) لیست باید شامل حد اکثر (n-p)(r-1) عضو باشد که میدانیم درست نیست. چون شامل (r(n-p عضو است. پس هر خانواده S شامل r مجموعه از Aiها، حد اقل r عضو متمایز دارد و طبق قضیهٔ هال خانواده { S={A1، A2، A3 ،...، An شامل یک مجموعه نمایندههای متمایز از Aiها است. از طرفی همانطور که قبلاً گفته شد هر مجموعه نمایندههای متمایز میتواند به عنوان یک سطر اضافی برای L در نظر گرفته شود و آن را به مستطیل لاتین p+1)×n) تبدیل کند. به همین ترتیب میتوان با ادامهِ این رویه به مربع لاتین n×n رسید.
اکنون مستطیل لاتین p×q را مورد بررسی قرار داده و متوجه خواهیم شد که گسترش آنها همیشه ممکن نیست.
قضیه۲: اگر L یک مستطیل لاتین p×q با درایههایی از مجموعه {۳٬۲،1...n} باشد، آنگاه L را میتوان به یک مربع لاتین n×n گسترش داد اگر و تنها اگر مقدار (L(i (تعداد تکرارهای i در L) برای هر n>i>1 در شرط زیر صدق کند:
L(i) ≥ p + q – n
اثبات: فرض میکنیم که L قابل گسترش به مربع لاتین n× n باشد:
در شکل روبرو یک مربع لاتین 2*2 را مشاهده می کنیم
چون i به تعداد (L(i مرتبه در L ظاهر شده و P مرتبه در دو بخش M و L با هم ظاهر میشود. پس (p - L(i در M تکرار شدهاست. اما از طرفی i به تعداد n - q مرتبه در دو بخش Q و M با هم تکرار میشود. پس داریم:
p - L(i) ≤ n – q → L(i) ≥ p + q – n
برعکس فرض کنیم رابطه L(i) ≥ p + q – n به ازای هر i بر قرار باشد و q<n. روشی ارائه میدهیم که به وسیلهٔ آن بتوان L را به مستطیل (p×(q+1 گسترش داد و این روش برای مستطیل بدست آمده در مرحله قبل قابل تکرار باشد و بتواند تا ساختن مستطیل لاتین p×n ادامه پیدا کند. از طرفی بنا بر قضیهٔ قبل مطمئن هستیم که این مستطیل p×n قابل گسترش به مربع لاتین n×n است. پس حکم قضیه ثابت میشود.
برای هر p>i>1 مجموعه Ai را به صورت زیر تعریف میکنیم:

حال نشان میدهیم که خانواده {S={A1، A2، A3 ،...، An دارای یک مجموعه نمایندههای متمایز شامل مجموعهٔ P است. (که این مجموعه را به عنوان ستون اضافی برای گسترش L به مستطیل لاتین (p×(q+1 در نظر میگیریم)
برای اثبات وجود مجموعه نمایندههای متمایز خانواده S باید به دو نکته توجه کنیم.
۱)
A1| = |A2| = |A3| = ... = |Ap| = n – q|
۲) چون هر i در(p-L(i سطر ظاهر نشده و از طرفی p -L(i) ≤ n – q پس هر i در حد اکثر n-q تا از مجموعههای A1، A2، ...، Ap ظاهر شدهاست. بنابراین مانند اثبات قضیه قبل اجتماع هر r تا از این مجموعهها شامل حد اقل r عضو متمایز است. در نتیجه طبق قضیه هال یک مجموعه نمایندههای متمایز از خانوادهٔ مذکور وجود دارد.
حال برای آن که اثبات کنیم مجموعه نمایندههای متمایز مورد نظر شامل مجموعه P است، باید نشان دهیم:

و سپس از قضیه کمکی ۲ استفاده میکنیم. برای پرهیز از پیچیده شدن مسئله این حکم را تنها برای {I={۱٬۲٬۳،... ،r اثبات میکنیم. (در حقیقت ما یک مجموعه r عضوی شامل{A1، A2، A3 ،... ،Ar} را بررسی میکنیم و بقیه مجموعهها نیز شبیه همین مورد هستند). بنا بر تعریف داریم:
![]()
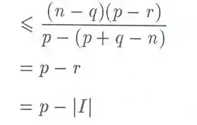
میدانیم هر عضو p مانند k دقیقاً p+q-n مرتبه در L ظاهر میشود. حال اگر p + q - n <r آنگاه k حد اقل در یکی از Aiها ظاهر شده. بنابراین جمع بالا صفر شده و نا مساوی بر قرار میشود.
اما اگر p + q - n ≥ r از لم گفته شدهاستفاده میکنیم و با در نظر گرفتن m = p + q – n نتیجه میگیریم که:
![]()

بنا بر نامساوی فوق طبق قضیه هال خانواده S یک مجموعه نمایندههای متمایز شامل P دارد. میتوانیم این مجموعه نمایندههای متمایز را به عنوان ستون اضافی برای گسترش L به مستطیل لاتین (p×(q+1 استفاده کنیم. اگر(L’(i) تعداد مرتبههای حضور عدد i در مستطیل لاتین جدید یعنی ’L باشد، در نتیجه خواهیم داشت: اگر i عضو p نباشد:
L’(i) ≥ L(i)> p + q – n
اگر i عضو p باشد:
L’(i) = L(i) + 1 = p + q – n +1
که در هر صورت نتیجه میدهد:
L’(i) ≥ p + q – n + 1
یعنی مستطیل لاتین ’L نیز شرط لازم وکافی برای گسترش دادن را دارد و از این رویه میتواند ادامه پیدا کند تا مستطیل لاتین p×n ساخته شود و از طرفی بنا بر قضیه قبل مطمئن هستیم که این مستطیل میتواند به مربع لاتین n×n گسترش یابد.
منابع
- Aspects of combinatorics: a wide-ranging introduction By Victor Bryant
Cambridge University Press، 1993 - Mathematics - 266 pages