همبستگینگار
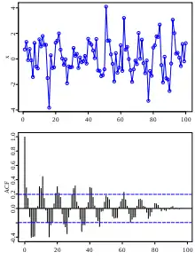
در آنالیز داده، همبستگینگار تصویر همبستگی آماری است. برای مثال، در آنالیز سری زمانی، همبستگینگار که به نمودار خودهمبستگی معروف است، نموداری از خودهمبستگی نمونه دربرابر است.


اگر همبستگی گذرا استفاده شود، نتایج را همبستگینگار گذرا نامند. این همبستگینگار ابزار رایجی برای بررسی اعداد تصادفی در مجموعه داده است. این تصادف با محاسبه خودهمبستگیهای ارزشهای داده در بازههای زمانی متنوع به دست میآید. در تصادف، این خودهمبستگی باید برای هر تفکیکی نزدیک صفر باشد. اگر تصادفی نباشد، یک یا چند خودهمبستگی بهطور قابل توجهی، غیر صفر خواهد بود.
به علاوه، از همبستگینگار در مرحله شناسایی سیستم برای سریهای زمانی مدل خودرگرسیو میانگین متحرک باکس-جنکینز استفاده میشود. خودهمبستگی، برای تصادف نزدیک صفر است؛ اگر آنالیز تصادف را چک نکند، سپس اعتبار بسیاری از نتیجهگیریهای آماری مشکوک میگردد. خودشناسایی روشی عالی برای بررسی این تصادف است.
گاهی اوقات، نمودارهای همبستگی، که ماتریسهای رنگی همبستگی نقاط قوت در آنالیز چندمتغیره است،[1] به این موارد نیز همبستگینگار میگوید.[2][3]
کاربردها
همبستگینگار میتواند امکان پاسخ به سوالات زیر را فراهم کند:
- آیا دادهها تصادفی اند؟
- آیا یک مشاهده به مشاهده مجاور مرتبط است؟
- آیا یک مشاهده به یک مشاهده بعد از مجاور مرتبط است؟
- آیا سریهای زمانی مشاهده شده نویز سفید اند؟
- آیا سریهای زمانی مشاهده شده خودرگرسیو اند؟
- یک روش مناسب برای سریهای زمانی مشاهده شده بیان کنید.
- آیا مدل:
صحیح و کافی است؟
- آیا رابطه درست است؟
منابع
- ترجمه از ویکیپدیا انگلیسی
- Friendly, Michael (19 August 2002). "Corrgrams: Exploratory displays for correlation matrices" (PDF). The American Statistician. Taylor & Francis. 56 (4): 316–324. doi:10.1198/000313002533. Retrieved 19 January 2014.
- "CRAN - Package corrgram". cran.r-project.org. 29 August 2013. Retrieved 19 January 2014.
- "Quick-R: Correlograms". statmethods.net. Retrieved 19 January 2014.