واکنش دوبنر–میلر
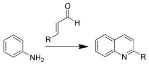
واکنش دوبنر–میلر (انگلیسی: Doebner–Miller reaction) واکنشی آلیست که طی آن یک α,β-کربونیل غیر اشباع طی واکنش با یک آنیلین تولید یک کینولین را می کنند.[1][2][3][4][5]

واکنش دوبنر–میلر
سازوکار واکنش

سازوکار واکنش دوبنر–میلر
جستارهای وابسته
منابع
- Doebner, O.; Miller, W. v. (1881). "Ueber eine dem Chinolin homologe Base". Ber. 14 (2): 2812. doi:10.1002/cber.188101402258.
- Doebner, O.; Miller, W. v. (1883). "Ueber Phenylchinolin". Chemische Berichte. 16 (2): 1664. doi:10.1002/cber.18830160238.
- Doebner, O.; Miller, W. v. (1883). "Ueber Chinaldinbasen". Chemische Berichte. 16 (2): 2464. doi:10.1002/cber.188301602176.
- Doebner, O.; Miller, W. v. (1884). "Ueber die Homologen des Chinaldins". Chemische Berichte. 17 (2): 1712. doi:10.1002/cber.18840170232.
- Bergström, F. W. (1944). "Heterocyclic Nitrogen Compounds. Part IIA. Hexacyclic Compounds: Pyridine, Quinoline, and Isoquinoline". Chemical Reviews. 35 (2): 153. doi:10.1021/cr60111a001.
This article is issued from Wikipedia. The text is licensed under Creative Commons - Attribution - Sharealike. Additional terms may apply for the media files.