ویلبر شرام
ویلبر لانگ شرام (۵ اوت ۱۹۰۷ – ۲۷ دسامبر ۱۹۸۷)، محقق و پژوهشگر در زمینه ارتباطات جمعی بود.[1]
ویلبر شرام | |
|---|---|
| زاده | Wilbur Lang Schramm ۵ اوت ۱۹۰۷ ماریتا، اوهایو، اوهایو |
| درگذشته | ۲۷ دسامبر ۱۹۸۷ (۸۰ سال) هونولولو |
| پیشه | روزنامهنگار، نویسنده، دانشگاهی |
| زبان(ها) | زبان انگلیسی |
| تحصیلات | B.A. , کالج ماریتا M.A. , دانشگاه هاروارد Ph.D. , دانشگاه آیووا |
| جوایز مهم | جایزه او. هنری |
| کار(های) برجسته | رسانههای جمعی و توسعه ملی |
زندگینامه
او در سال ۱۹۰۷ در شهر مارتیا واقع در اوهایو متولد شد. در ۱۹۳۰، جهت اخذ درجه فوق لیسانس وارد دانشگاه هاروارد شد و در ۱۹۳۲ از دانشکده ماریتا فارغالتحصیل ادبیات انگلیسی شد. پس از آن برای ادامه تحصیل، در دوره دکترای تخصصی انجمن افتخاری دانشجویان ممتاز آمریکایی رهسپار دانشگاه ایالتی آیووا شد. سپس با گذراندن یک دوره دو ساله، موفق به اخذ درجه فوق دکترا در رشته روانشناسی شد. وی مدت زیادی به تدریس ادبیات انگلیسی در دانشگاه آیووا مشغول بود. او کارگاه نویسندگان آیووا را در سال ۱۹۳۵ تأسیس نمود و به عنوان اولین مدیر آن تا سال ۱۹۴۱ فعال بود. شرام پس از شروع جنگ جهانی دوم، به مدت دو سال به عنوان مدیر آموزش در دفتر آمار و ارقام دولت فدرال و سپس در دفتر اطلاعات جنگ خدمت کرد. تحقیقات شرام در زمان جنگ، که مربوط به تبلیغات بود، به تعمیق علاقه وی به استفاده از ارتباطات جمعی به عنوان ابزاری برای تأثیرگذاری بر افکار عمومی کمک کرد. در بین سالهای ۱۹۴۳ تا ۱۹۴۷ به سمت مدیر دانشکده روزنامهنگاری آیووا منصوب شد و در آنجا نیز تدریس خود را از سر گرفت. شرام در بین سالهای ۱۹۴۷ تا ۱۹۵۵ در دانشگاه ایلینویز و از سال ۱۹۵۵ تا ۱۹۷۳ در دانشگاه استنفورد فعالیت میکرد. پس از دوران بازنشستگی از استنفورد در سال ۱۹۷۳ و در سن ۶۵ سالگی، رهسپار مرکز شرق – غرب در دانشگاه هاوایی در مانوآ شد و تا قبل از مرگ (۱۹۸۷) مدیر ممتاز «مؤسسه پژوهشهای ارتباطی شرق- غرب» بود[2]. شرام در آخرین مرحله شغلی خود، به عنوان استاد ارتباطات یکی از دانشگاههای هنگ کنگ در چین، در سال ۱۹۷۷ خدمت کرد و بهطور کلی در طول چهارده سال حضور در هاوایی، به رشد مطالعه ارتباطات در آسیا کمک کرد[3]. او در ایجاد ارتباطات به عنوان یک رشته تحصیلی در ایالات متحده و بخشهای مطالعات ارتباطات در دانشگاههای ایالات متحده بسیار تأثیرگذار بود. او بنیانگذار زمینه مطالعات ارتباطات است. او اولین فرد بود که خود را به عنوان یک محقق ارتباطی شناخت و اولین برنامههای تحصیلی دانشگاهی را با ارتباط با نام خود ایجاد کرد. او نسل اول دانش پژوهان را آموزش داد[4].
مشارکتها
سمتهای ویلبر شرام:
۱-بنیانگذار مطالعات ارتباطی در جهان
۲-زندگی شغلی او عاملی شد که به سمت ۳ دانشگاه بزرگ تحقیقاتی کشانده شود: دانشگاه آیووا (۱۹۳۴–۱۹۴۷)، دانشگاه ایلینویز (۱۹۴۷–۱۹۵۵)، دانشگاه استنفورد (۱۹۵۵–۱۹۷۳)
۳-عنوان نخستین مبتکر مطالعه موضوعی در آمریکا، یعنی پژوهش مشهور «تلویزیون در زندگی کودکان ما»
۴-بنیانگذار کارگاه نویسندگان آیووا
۵-استادیار بخش انگلیسی دانشگاه آیووا
۶-مسئول کتابخانه ایالات متحده
۷-مدیر دفتر اطلاعات و ارقام
۸-بنیانگذار مؤسسه پژوهشهای ارتباطی در شهر آیووا (که نوعی الگوبرداری از دفتر پژوهشی لازارسفلد در دانشگاه کلمبیا بود.)
۹-استاد تمام وقت ارتباطات در دانشگاه ایلینویز (او نخستین فردی بود که در دنیا به این سمت آموزشی در عرصه ارتباطات منصوب شد.)
۱۰-مدیر انتشارات دانشگاه ایلینویز، ایستگاههای پخش رادیو تلویزیونی، امور اداری حرفهای، مرکز برگزاری همایشها
۱۱-همکاری با بخش روزنامهنگاری دانشگاه استنفورد
۱۲-مدیر مؤسسه پژوهشهای ارتباطی دانشگاه استنفورد
۱۳-منصوب شدن به درجه پروفسوری در گرایش ارتباطات بینالملل دانشگاه استنفورد (نخستین فردی که در این حوزه به مقام پروفسوری نائل شد.)
۱۴-مدیر مؤسسه ارتباطی شرق- غرب[5]
آثار
از شرام کتابهای زیادی به چاپ رسیده که بیشتر آنها در زمینه توسعه آموزش ارتباطات جمعی است. برخی از مهمترین این آثار عبارتند از:
۱-ارتباطات در جامعه جدید (۱۹۴۸)
۲-ارتباطات جمعی (۱۹۶۰ / ۱۹۴۹)
۳-فرایند و تأثیرات ارتباط جمعی (۱۹۵۴): این کتاب مهمترین کتاب شرام بود که مقدمهای حرفهای جهت ورود به حوزه جدید مطالعات ارتباطی محسوب میشود.
۴-نظریات چهارگانه مطبوعات (۱۹۵۶): با همکاری فردسیبرت و تئودورپترسون
۵-مسئولیت پذیری در ارتباطات جمعی (۱۹۵۷)
۶-یک روز در مطبوعات (۱۹۵۹)
۷-تلویزیون در زندگی کودکان ما (۱۹۶۱): با همکاری جک لاین و ادوین پارکر که از شاگردان وی بودند، بخشی از تحقیق این کتاب به موضوع خشونت تلویزیونی و تأثیرات آن بر کودکان ایالت استنفورد میپرداخت.
۸-رسانههای جمعی و توسعه (۱۹۶۴): این کتاب در رابطه با مقوله ارتباطات بینالملل است. شرام در این کتاب آینده روشنی را برای کشورهای جهان سوم در چارچوب اهداف توسعه ملی طراحی کرده و آن را به صورت یک الگوی بهینه در ایالات متحده و دیگر نقاط جهان معرفی نمود.
۹-ارتباطات و تغییر در کشورهای در حال توسعه (۱۹۶۷): با همکاری دنیل لرنر
۱۰-مردان، پیام، رسانهها (۱۹۷۳)
۱۱-رسانههای بزرگ، رسانههای کوچک (۱۹۷۸): رسانههای بزرگ مثل تلویزیون و سینما و رسانه کوچک مثل رادیو. او میگوید: در بسیاری از جوامع محلی رسانههای کوچک کارآمدتر هستند. شرام در این کتاب به یک انتقادگر سرسخت تبدیل میشود که در پرتو طرح آموزشی رسانهها به معرفی اهداف قابل دسترسی و آشکار میپردازد. به باور او، یکی از این طرحهای آموزش رسانهای، به کمک جهتیابی فنآوریهای جدید، میتواند در بهینهسازی امور کشاورزی و تجزیه محدود جمعیتهای باسواد مؤثر باشد. مثلا: در اکثر مواقع تصاویر آنقدر قدرت دارند که میتوانند از هزاران کلمه اثربخشتر باشد.
۱۲-حکایت ارتباطات انسانی (۱۹۸۸)[6]
الف)
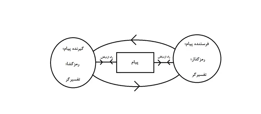
ویلبر شرام در تعریف ارتباط میگوید: ارتباط در واقع هماهنگ شدن فرستنده و گیرنده در رابطه با یک پیام ویژه است. او در کتاب فراگرد و تأثیر ارتباط جمعی نوشتهاست: در فراگرد ارتباط بهطور کلی ما میخواهیم با گیرنده پیام خود در یک مورد و مسئله معینی همانندی (اشتراک فکر) ایجاد کنیم[7]. او تصدیق میکند که خیلی از افکار او ملهم از ازگود است[8].
شرام مینویسد: 'ارتباطات همیشه حداقل به سه عنصر نیاز دارد: منبع، پیام و مقصد.
-منبع میتواند صحبت یک فرد، نوشتهاش، نقاشیاش یا حرکاتش باشد، یا یک سازمان ارتباطی مثل روزنامه، چاپخانه، ایستگاه تلویزیونی، استودیوی تهیه فیلمهای کودکان باشد.
-پیام میتواند به شکل جوهر روی کاغذ، امواج صوتی در هوا، جریان برق، تکان دادن دست یا پرچم در فضا، یا هر نوع علامتی که قادر به تفهیم معنی باشد، ظاهر بشود.
-مقصد یا هدف ممکن است شنونده، تماشاگر، خواننده، چه بهصورت فردی، گروهی یا جمعی باشد؛ شرکتکنندگان در یک بحث گروهی، شنوندگان یک سخنرانی، یک جمعیت علاقهمند به فوتبال، یک خواننده روزنامه، تماشاگر تلویزیون همه اینها گیرنده هستند.
ابتدا منبع پیام خود را به شکل رمز درمیآورد و آن را ارسال میکند. پس از آن که مقصد پیام را دریافت کرد، باید آن را رمزگشایی کند[9].

چند نکته:
- این ارتباط دایرهای است نه خطی. در بیشتر موارد شنونده، هم میتواند پیام دریافت کند و هم ارسال کند.
- معمولاً این ارتباط برابر و متقابل است.
- هنگام دریافت پیام، تعبیرهای زیادی میتوانند درگیر شوند.
- و در آخر اینکه همه ارتباطات به سه مرحله نیاز دارند: رمزگذاری، رمزگشایی و تفسیر پیام[10].
وقتی منبع میکوشد تا این اشتراک را با مقصد مورد نظر ایجاد کند چه میشود؟
کارایی این فرایند به چند عامل بستگی دارد:
- ظرفیت کانال ارتباطی: یکی از مهمترین مهارتها در برقراری ارتباط آن است که بدانیم چگونه و تا چه حد میتوان از ظرفیت یک کانال استفاده کرد.
- نحوه رمزگذاری: یعنی برای مثال چقدر آن پیام روشن یا بغرنج رمزگذاری شدهاست.
- ظرفیت رمزخوان
حال این مسئله مطرح میشود که برای برقرار کردن ارتباط، لازم است تصاویر ذهنی منبع رمزگذاری و سپس توسط مقصد رمزگشایی شوند؛ رمزگشایی وقتی انجام خواهد شد که مقصد قبلاً رمز را آموخته باشد. علاوه بر این، باید منبع و مقصد دارای تجربیات مشترک و یکسان باشند. مثلاً اگر ما هرگز روسی یاد نگرفته باشیم، هرگز نخواهیم توانست به این زبان کدگذاری و بازخوانی کد کنیم. هر چه اشتراکات بیشتر باشد، ایجاد ارتباط راحت است. اما اگر هیچ تجربه مشترکی وجود نداشته باشد، ارتباط غیرممکن است. بنابراین، منبع سعی در کدگذاری برای تفهیم سادهتر گیرنده دارد و پیام را تنظیم میکند و آن را چنان با بخشهائی از تجربیاتش که به مقصد نزدیک است ربط میدهد، که بتواند این مشکل را حل کند. البته باید به این موضوع توجه داشت که هیچ دو فردی سیستم دقیقاً مشابهی ندارند. یک علامت که به مفهوم یک چیز معین برای شما است، شروع فراگردهای معین دیگری را در ماهیچهها و اعصاب شما باعث خواهد شد. برای مثال یک علامت که به مفهوم آتش است، مطمئناً سخنانی را در شما ایجاد خواهد کرد. علامتی که به مفهوم خطر برای شما است، ممکن است شروع به ایجاد فرآیندی در اعصاب و ماهیچههای شما بکند که بگوئید: "کمک!" مفهوم یک علامت ممکن است باعث شود از دریافت آن علامت چنان به خشم بیائید که گوینده را کتک بزنید یا ممکن است صرفاً او را نادیده بگیرید. یا اینکه بهصورت یک قاتل به او نگاه کنید. اما نتیجه هرچه باشد، این فراگردی است که شما بهطور مداوم با آن درگیر هستید. شما به صورت مداوم علائم را از محیط خود بازخوانی میکنید، آنها را تفسیر و چیزی را بهعنوان نتیجه کدگذاری میکنید. در واقع، این گمراه کننده است که تصور کنیم فراگرد ارتباط در جایی شروع و در جایی دیگر خاتمه مییابد. این فراگرد واقعاً بیانتها است.
یک مکالمه دو نفره را در نظر بگیرید. یک نفر مرتباً ارتباط میگیرد و به دیگری پیام میفرستد. فراگرد بازگشت همان بازخورد است و نقش بسیار مهمی در ارتباطات بازی میکند. زیرا به ما میگوید که چگونه پیامهای ما تفسیر میشوند. همان گونه که ما میخواستیم؟ آیا شنونده میگوید: «بله، بله، درست است.» آیا او سرش را بهعنوان موافقت تکان میدهد؟ آیا خطوط پیشانی او جمع میشوند؟ آیا نگاهش را به این عنوان که بیعلاقه است برمیگرداند؟ اینها همگی بازخورد هستند. یک ارتباطگر کار آزموده به بازخورد توجه میکند و همواره پیامهای او را برحسب آنچه در گیرندگان مشاهده میکند یا میشنود تغییر میدهد.
نکته بعدی این است که ما در هر نوع ارتباطی، بهندرت یک پیام را به تنهایی در یک کانال میفرستیم. وقتی شما با من صحبت میکنید، امواج صوتی صدای شما اولین پیام است. اما پیامهای دیگری هم وجود دارد؛ حالت صورت شما، حرکات شما و … که اطلاعاتی در سطوح وسیع منتقل میکنند. کیفیت صدای شما (عمق، ارتفاع، خشن بودن، نازک بودن، قوی بودن، ظریف بودن، تند بودن، آرام بودن و …) حاوی اطلاعاتی در مورد شما و آنچه میگویید است. این مسئله در ارتباطات مکتوب هم دیده میشود. نه تنها توسط کلمات در مطلب یک خبر، بلکه توسط اندازه تیتر، جای آن در صفحه، ترکیب آن با تصویر، استفاده از چهرههای جسور و دیگر تدبیرها این انتقال انجام میگیرد.
آنچه گفته شد فرآیندی است که ارتباطات با آن صورت میگیرد. چه این ارتباط جمعی یا ارتباط گروهی یا ارتباط فردی باشد[11].
مزایا و معابب مدل ارتباطی شرام:
مزایا:
- نحوه عملکرد بازخورد را نشان میدهد.
- افراد در این مدل فعال در نظر گرفته میشوند.
معایب:
۱- ارتباطاتی که نابرابر هستند را در نظر نمیگیرد.
۲- دربارهٔ رسانههای تودهوار خیلی صادق نیست[12].
ب)
در سال ۱۹۵۶، سه نظرپرداز آمریکایی یعنی ویلبر شرام، تئودور پترسون و فردسیبرت نظریه اقتدارگرا را که خودکامگی و استبداد را نشان میداد، با چند ویژگی خاص ارائه دارند: - روزنامه زیرسلطه دولت است. - سانسور قبل از چاپ انجام میشود. - روزنامهنگار اگر از اصولی که برایش تعیین شده تخطی کند، مجازات میشود. - به جای تأکید بر آزادی فرد یا اجتماع، به مصلحت دولت تأکید میشود.
پ)
در ادامه نظریه دیگری از سوی ویلبر شرام ارائه شد که این نظریه با بررسی نظریه نظام کمونیستی همراه بود. ویژگیهای این نظریه چنین است: - ادامه دهنده نظریه اقتدارگرا است. - این نظریه محصولی است از انقلاب ۱۹۱۷ شوروی و تفکرات لنین، مارکس و هگل و استالین. - طبق این نظریه طبقه کارگر قدرت را در جامعه سوسیالیستی در دست دارد. - برای حفظ قدرت باید ابزارهای تولید فکری را هم در کنترل خود داشت. - همه رسانهها ابزار زندگی سیاسی هستند. - رسانهها بر حفظ نظم حاکم اجتماعی تأکید میورزند.
ت)
ویلبر شرام از نظریه ریاضی ارتباط شانون و ویور حمایت کردهاست. علاوه بر چاپ آثار خویش، در سال ۱۹۴۹ کتاب مشهور «نظریه ریاضی ارتباطات» نوشته شانون، که با همکاری مقاله توصیفی وارن ویور فراهم آمده بود را به چاپ رسانید. این کتاب مهم مفهوم اصلی آنچه که امروزه «نظریه اطلاعات» نامیده میشود را بنیان نهاد. این نظریه همانطور گفته شد، بر مبنای الگوی ارتباطی بسیار سادهای همچون منبع، پیام، مجرا، گیرنده واقع شدهاست.
ث)
از نظر شرام ارتباطات در تمام سطوح از روابط درون فردی گرفته تا گروه و جامعه و روابط بینالملل، نقش مهمی را در جامعه ایفا میکند. از اواخر ۱۹۳۰، آثار شرام بهطور فزایندهای بر نیروی بالقوه و ناشناخته رسانهها تأکید دارد. وی اول به معنی این وسایل در زندگی کودکان و دوم به نقش رسانهها در توسعه ملی توجه دارد.
ج)
منافع آنی و منافع آتی: منافع آنی و منافع آتی دو مفهومی هستند که ویلبر شرام به دنیای ارتباطات عرضه کرد.
- منافع آنی: یعنی مطالبی از رسانهها، که مخاطبان برای تصمیمات فوری خود به آنها نیاز دارند. مثل گزارش وضع راهها در زمستان برای سفر یا مثلاً گران شدن بنزین یا اخباری مثل حوادث.
- منافع آتی: یعنی مطالبی از رسانهها، که مخاطبان برای تصمیمات درازمدت خود به آنها نیاز دارند. این نوع مطالب مثل سرمقالهها و تحلیلها برای آینده مخاطبان مهم است.
ویلبر شرام میگفت: مخاطبان همیشه ابتدا به سراغ مطالب مربوط به منافع آنی میروند و سپس به سراغ منافع آتی. اما به غیر از این ۲ نیاز عوامل دیگری هم هستند که مخاطبان برای تأمین آنها هم به سراغ رسانهها میروند.
چ) ویلبر شرام که رابطه تلویزیون و سینما را با خصوصیات اطفال و نوجوانان مورد بررسی قرار دادهاست، میگوید تلویزیون وقتی یک برنامه علمی یا آموزشی پخش میکند، وسیله علمی و سودمندی است؛ زیرا در محتوا و پیام سود فراوان ملاحظه میشود. اما وقتی یک فیلم وسترن جنگی با مایههای شرارت و خشونت را در اختیار تماشاگران قرار میدهد، میتواند به ارزشهای مورد قبول آنها آسیب فراوان برساند[13].
منابع
- "Wilbur Schramm; Wrote Many Works On Communications". New York Times. 1 January 1988.
- کمالی.1393
- اِوِرت.2020
- Rogers, Everett (1994). A History of Communication Study: A Biological Approach. NY: The Free Press. p. 29.
- کمالی.1393
- کمالی.1393
- کمالی.1393
- سورین، تانکارد.1992
- شرام.1954
- درو.2020
- شرام.1954
- درو.2020
- کمالی.1393
کمالی، محمد. (۱۳۹۳). ویلبر شرام
درو، کریس. (۲۰۲۰). مدل ارتباطی شرام
.(Schramm, Willbar.(1954
اِوِرت ام، راجرز. (۲۰۲۰). ویلبر شرام
