پروپیزپین
پروپیزپین (با نام تجاری Depressin Vagran) یک داروی ضد افسردگی سهحلقهای (TCA) است که در فرانسه برای درمان افسردگی استفاده میشود و در دهه ۱۹۷۰ معرفی شد.[1]
![]() | |
| نامگذاری آیوپاک | |
|---|---|
6-(2-dimethylaminopropyl)-11H-pyrido[3,2-c][1,5]benzodiazepin-5-one | |
| اطلاعات درمانی | |
| نام تجاری | Depressin, Vagran |
| وضعیت قانونی |
|
| روش مصرف دارو | خوراکی |
| شناسهها | |
| سیایاس | 10321-12-7 14559-79-6 (hydrochloride) |
| ایتیسی | None |
| پابکم | CID: 112029 |
| کماسپایدر | 100443 |
| UNII | 09B57945V9 |
| ChEMBL | CHEMBL2104749 |
| اطلاعات شیمیایی | |
| فرمول شیمیایی | C17H20N4O |
| وزن مولکولی | ۲۹۶٫۳۷ g·mol−1 |
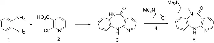
سنتز

سنتز پروپیزپین:[2]
منابع
الگو:Monoamine reuptake inhibitors الگو:Muscarinic acetylcholine receptor modulators
| |||||||||||||||||||||||||||||||||||||||||||||||||||||||||||||||||||||||||||||||||||||||||||||||||||||||||||||||||||||||||||||||||||||||||||||||||||||||||||||||||||||||||||||||||||||||||||||||||
| طبقهبندی مواد شیمیایی |
|
|---|---|
| داروهای ضدافسردگی (ضدافسردگیهای سهحلقهای و چهارحلقهای) |
|
| آنتیهیستامینها |
|
| داروهای ضد روانپریشی |
|
| ضدتشنجها |
|
| دیگر موارد |
|
This article is issued from Wikipedia. The text is licensed under Creative Commons - Attribution - Sharealike. Additional terms may apply for the media files.
