کراتان سولفات
کراتان سولفات (به انگلیسی: Keratan sulfate) یک گلیکوزآمینوگلیکان سولفاته مهم است که در بافت همبندی بدن بویژه در قرنیه ، غضروف و استخوان وجود دارد و باعث استحکام آن میشود. این گلیکوزآمین در بافت عصبی سیستم عصبی نیز به دنبال آسیب تولید میشود (در بافت گلیال) و در ناخن و شاخ هم دیده می شود.

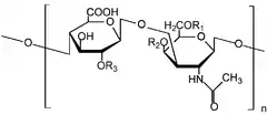
Chemical structure of one unit in a chondroitin sulfate chain. Chondroitin-4-sulfate: R1 = H; R2 = SO3H; R3 = H. Chondroitin-6-sulfate: R1 = SO3H; R2, R3 = H.
جستارهای وابسته
منابع
- مشارکتکنندگان ویکیپدیا. «sulfate=590981563 Keratan sulfate». در دانشنامهٔ ویکیپدیای انگلیسی، بازبینیشده در ۲۱ فوریه ۲۰۱۴.
This article is issued from Wikipedia. The text is licensed under Creative Commons - Attribution - Sharealike. Additional terms may apply for the media files.