بوتاکائین
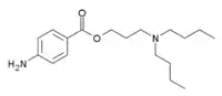
بوتاکائین (به انگلیسی: Butacaine) با فرمول شیمیایی C۱۸H۳۰N۲O۲ یک ترکیب شیمیایی با شناسه پابکم ۲۴۸۰ است. که جرم مولی آن ۳۰۶٫۴۴۳ g/mol میباشد.
| بوتاکائین | |
|---|---|
![]() | |
4-aminobenzoic acid 3-(dibutylamino)propyl ester | |
| شناساگرها | |
| شماره ثبت سیایاس | ۱۴۹-۱۶-۶ |
| پابکم | ۲۴۸۰ |
| کماسپایدر | ۲۳۸۶ |
| جیمول-تصاویر سه بعدی | Image 1 |
SMILES
| |
| |
| خصوصیات | |
| فرمول مولکولی | C18H30N2O2 |
| جرم مولی | 306.443 g/mol |
| به استثنای جایی که اشاره شدهاست در غیر این صورت، دادهها برای مواد به وضعیت استانداردشان داده شدهاند (در 25 °C (۷۷ °F)، ۱۰۰ kPa) | |
| Infobox references | |
|
| |
جستارهای وابسته
This article is issued from Wikipedia. The text is licensed under Creative Commons - Attribution - Sharealike. Additional terms may apply for the media files.
