مپریلکائین
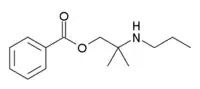
مپریلکائین (به انگلیسی: Meprylcaine) با فرمول شیمیایی C۱۴H۲۱NO۲ یک ترکیب شیمیایی با شناسه پابکم ۴۰۶۵ است. که جرم مولی آن ۲۳۵٫۳۲ g/mol میباشد.
| مپریلکائین | |
|---|---|
![]() | |
benzoic acid (2-methyl-2-propylaminopropyl) ester | |
| شناساگرها | |
| شماره ثبت سیایاس | ۴۹۵-۷۰-۵ |
| پابکم | ۴۰۶۵ |
| جیمول-تصاویر سه بعدی | Image 1 |
SMILES
| |
| خصوصیات | |
| فرمول مولکولی | C14H21NO2 |
| جرم مولی | 235.32 g/mol |
| به استثنای جایی که اشاره شدهاست در غیر این صورت، دادهها برای مواد به وضعیت استانداردشان داده شدهاند (در 25 °C (۷۷ °F)، ۱۰۰ kPa) | |
| | |
| Infobox references | |
|
| |
جستارهای وابسته
This article is issued from Wikipedia. The text is licensed under Creative Commons - Attribution - Sharealike. Additional terms may apply for the media files.
