تالامپیسیلین
تالامپیسیلین (انگلیسی: Talampicillin) یک آنتی بیوتیک بتالاکتام از خانواده پنی سیلین ها است. این آنتی بیوتیک توسط سازمان غذا و داروی آمریکا جهت مصرف در ایالات متحده مورد تایید قرار نگرفته است.
![]() | |
| نامگذاری آیوپاک | |
|---|---|
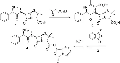
3-oxo-1,3-dihydro-2-benzofuran-1-yl (2S,5R,6R)-6-{[(2R)-2-amino-2-phenylacetyl]amino}-3,3-dimethyl-7-oxo-4-thia-1-azabicyclo[3.2.0]heptane-2-carboxylate | |
| اطلاعات درمانی | |
| AHFS/دراگز | International Drug Names |
| شناسهها | |
| سیایاس | ۴۷۷۴۷-۵۶-۸ |
| ایتیسی | J01CA15 |
| پابکم | CID: ۵۳۷۳ |
| کماسپایدر | ۶۴۵۲۹ |
| UNII | 29OJI73DPC |
| ChEMBL | CHEMBL۱۳۲۲۷۱۹ |
| اطلاعات شیمیایی | |
| فرمول شیمیایی | C24H23N3O6S۱ |
| وزن مولکولی | خطای عبارت: عملگر < دور از انتظار |
SMILES
| |
| |
| | |
منابع
- I. Isaka, K. Nakano, T. Kashiwagi, A. Koda, H.Horiguchi, H. Matsui, K. Takahashi and M.Murakami, Chem. and Pharm. Bull., 24, 102 (1976).
- J. P. Clayton, M. Cole, S. W. Elson, H. Ferres,J. C. Hanson, L. W. Mizen and R. Sutherland, J.Med. Chem., 19, 1385 (1976).
- H. Ferres, M. P. Clayton, DE 2228012; eidem, US 3860579 (1972, 1975 both to Beecham).
- See also: M. Murakami et al., US 3951954 (1976 to Yamanouchi).
- مشارکتکنندگان ویکیپدیا. «Talampicillin». در دانشنامهٔ ویکیپدیای انگلیسی، بازبینیشده در ۳۱ مه ۲۰۱۸.
This article is issued from Wikipedia. The text is licensed under Creative Commons - Attribution - Sharealike. Additional terms may apply for the media files.

