سفدینیر
سفدینیر(به انگلیسی: Cefdinir)، که با نام تجاری Omnicef فروخته میشود، یک آنتیبیوتیک است که برای معالجه ذات الریه، عفونت گوش میانی، گلودرد استرپتوکوکی و سلولیت مورد استفاده قرار میگیرد. این دارو ارجحیت کمتری در درمان افراد مبتلا به سینه پهلو، عفونت گوش میانی و گلودرد استرپتوکوکی که ممکن است حساسیت شدید به پنی سیلین داشته باشند، دارد. سفدینیر به صورت خوراکی تجویز میشود.[1]
![]() | |
| نامگذاری آیوپاک | |
|---|---|
8-[2-(2-amino-1,3-thiazol-4-yl)-1-hydroxy-2-nitroso- ethenyl]amino-4-ethenyl-7-oxo-2-thia-6- azabicyclo[4.2.0]oct-4-ene-5-carboxylic acid | |
| اطلاعات درمانی | |
| نام تجاری | Cefzon، Omnicef، دیگر نامها |
| AHFS/دراگز | monograph |
| مدلاین پلاس | a698001 |
| ردهٔ بارداری |
|
| وضعیت قانونی |
|
| روش مصرف دارو | خوراکی |
| اطلاعات فارماکوکینتیک | |
| فراهمی زیستی | ۱۶٪ تا ۲۱٪ (وابسته به دوز) |
| پیوند پروتئینی | ۶۰٪ تا ۷۰٪ |
| سوخت و ساز | Negligible |
| نیمهعمر (داروشناسی) | ۱٫۷ ± ۰٫۶ ساعت |
| دفع | کلیه |
| شناسهها | |
| سیایاس | ۹۱۸۳۲-۴۰-۵ |
| ایتیسی | J01DD15 |
| پابکم | CID: ۶۹۱۵۹۴۴ |
| دراگبنک | DB00535 |
| کماسپایدر | ۵۲۹۱۷۰۵ |
| UNII | CI0FAO63WC |
| KEGG | D00917 |
| ChEBI | CHEBI:۳۴۸۵ |
| ChEMBL | CHEMBL۹۲۷ |
| اطلاعات شیمیایی | |
| فرمول شیمیایی | C۱۴H۱۳N۵O۵S۲ |
| وزن مولکولی | خطای عبارت: عملگر < دور از انتظار |
| |
| (بررسی) | |
عوارض جانبی شایع شامل اسهال، حالت تهوع و بثورات پوستی است.[1] عوارض جانبی جدیتر ممکن است شامل انتروکولیت با غشای کاذب، آنافیلاکسی و سندرم استیونز-جانسون باشد. اعتقاد بر این است که استفاده در دوران بارداری و شیردهی بی خطر است اما به خوبی مورد مطالعه قرار نگرفتهاست.[2] این دارو یک سفالوسپورین نسل سوم است و با اختلال در توانایی باکتری در ایجاد دیواره سلولی، منجر به مرگ آن میشود.
در سال ۱۹۷۹ ثبت اختراع شد و در سال ۱۹۹۱ برای مصارف پزشکی تایید شد.[3] به عنوان داروی ژنریک در دسترس است. [1] در سال ۲۰۱۶ این دارو ۲۲۸مین داروی تجویز شده در ایالات متحده با بیش از ۲ میلیون نسخه بود. [4]
منابع
- "Cefdinir Monograph for Professionals". Drugs.com. American Society of Health-System Pharmacists. Retrieved 23 March 2019.
- "Cefdinir Use During Pregnancy". Drugs.com. Retrieved 3 March 2019.
- Fischer, Jnos; Ganellin, C. Robin (2006). Analogue-based Drug Discovery. John Wiley & Sons. p. 49X. ISBN 9783527607495.
- "The Top 300 of 2019". clincalc.com. Retrieved 22 December 2018.
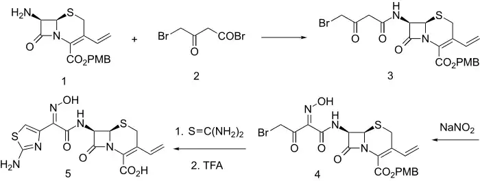
- Takaya T, et al., BE 897864; eidem, U.S. Patent ۴٬۵۵۹٬۳۳۴ (1984, 1985 both to Fujisawa Pharmaceuticals).
- Inamoto Y, Chiba T, Kamimura T, Takaya T (June 1988). "FK 482, a new orally active cephalosporin synthesis and biological properties". The Journal of Antibiotics. 41 (6): 828–30. doi:10.7164/antibiotics.41.828. PMID 3255303.
- Kamachi H, Narita Y, Okita T, Abe Y, Iimura S, Tomatsu K, et al. (November 1988). "Synthesis and biological activity of a new cephalosporin, BMY-28232 and its prodrug-type esters for oral use". The Journal of Antibiotics. 41 (11): 1602–16. doi:10.7164/antibiotics.41.1602. PMID 3198494.
- González M, Rodríguez Z, Tolón B, Rodríguez JC, Velez H, Valdés B, et al. (June 2003). "An alternative procedure for preparation of cefdinir". Farmaco. 58 (6): 409–18. doi:10.1016/S0014-827X(03)00063-6. PMID 12767379.

