ترووافلوکساسین
ترووافلوکساسین(به انگلیسی: Trovafloxacin) (با نام تجاری Trovan توسط فایزر و Turvel توسط آلمیرال فروخته میشود) یک آنتیبیوتیک وسیع الطیف است[1] که به دلیل خطر ایجاد Hepatotoxicity در بیماران از بازار جمع آوری شد. این آنتیبیوتیک نسبت به فلوروکینولونهای قبلی، پوشش بیشتری نسبت به سویههای باکتریایی گرم مثبت و پوشش کمتری نسبت به سویههای گرم منفی داشت.
![]() | |
| نامگذاری آیوپاک | |
|---|---|
7-(6-Amino-3-azabicyclo[3.1.0]hex-3-yl)-1-(2,4-difluorophenyl)-6-fluoro-4-oxo-[1,8] naphthyridine-3-carboxylic acid | |
| اطلاعات درمانی | |
| AHFS/دراگز | Micromedex Detailed Consumer Information |
| مدلاین پلاس | a605016 |
| وضعیت قانونی |
|
| روش مصرف دارو | خوراکی, داخل وریدی |
| شناسهها | |
| سیایاس | 147059-72-1 |
| ایتیسی | J01MA13 |
| پابکم | CID: 62959 |
| دراگبنک | DB00685 |
| کماسپایدر | 16736478 |
| UNII | 9F388J00UK |
| KEGG | D08654 |
| ChEBI | CHEBI:9763 |
| ChEMBL | CHEMBL428 |
| اطلاعات شیمیایی | |
| فرمول شیمیایی | C20H15F3N4O3 |
| وزن مولکولی | 416.353 g/mol |
| |
| (بررسی) | |
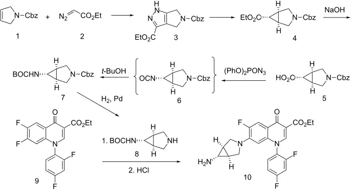
سنتز

سنتز ترووافلوکساسین: KE Brighty ، U.S. Patent ۵٬۱۶۴٬۴۰۲ (1992 متعلق به فایزر).
جستارهای وابسته
- آلاتروفلوکساسین، یک پیش دارو از ترووافلوکساسین برای تزریق داخل وریدی
- کینولون
منابع
- Gootz, TD; Zaniewski R; Haskell S; Schmieder B; Tankovic J; Girard D; Courvalin P; Polzer RJ (December 2006). "Activity of the new fluoroquinolone trovafloxacin (CP-99,219) against DNA gyrase and topoisomerase IV mutants of Streptococcus pneumoniae selected in vitro". Antimicrob Agents Chemother. 40 (12): 2691–7. doi:10.1128/AAC.40.12.2691. PMC 163605. PMID 9124824.
This article is issued from Wikipedia. The text is licensed under Creative Commons - Attribution - Sharealike. Additional terms may apply for the media files.
