سولفامرازین
سولفامرازین(به انگلیسی: Sulfamerazine) یک ضد باکتری سولفونامیدی است.
![]() | |
| نامگذاری آیوپاک | |
|---|---|
4-amino-N-(4-methylpyrimidin-2-yl) benzenesulfonamide | |
| اطلاعات درمانی | |
| AHFS/دراگز | International Drug Names |
| شناسهها | |
| سیایاس | 127-79-7 |
| ایتیسی | D06BA06 J01ED07 (WHO) QJ01EQ17 |
| پابکم | CID: 5325 |
| دراگبنک | DB01581 |
| کماسپایدر | 5134 |
| UNII | UR1SAB295F |
| KEGG | D02435 |
| ChEBI | CHEBI:102130 |
| ChEMBL | CHEMBL438 |
| اطلاعات شیمیایی | |
| فرمول شیمیایی | C11H12N4O2S |
| وزن مولکولی | 264.305 g/mol |
| |
| (بررسی) | |
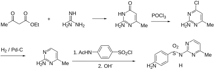
سنتز

جستارهای وابسته
- سولفادیازین
- Sulfadimidine
- Sulfamethizole
منابع
- Roblin, R. O.; Williams, J. H.; Winnek, P. S.; English, J. P. (1940). "Chemotherapy. II. Some Sulfanilamido Heterocycles1". Journal of the American Chemical Society. 62 (8): 2002. doi:10.1021/ja01865a027.
- Sprague, J. M.; Kissinger, L. W.; Lincoln, R. M. (1941). "Sulfonamido Derivatives of Pyrimidines". Journal of the American Chemical Society. 63 (11): 3028. doi:10.1021/ja01856a046.
پیوند به بیرون
پروندههای رسانهای مربوط به Sulfonamide antibiotics در ویکیانبار
- Sulfamerazine ( DrugBank )
- سولفامرازین ( NIST )
This article is issued from Wikipedia. The text is licensed under Creative Commons - Attribution - Sharealike. Additional terms may apply for the media files.
