نوکلئیک اسید
اسید نوکلئیک یا نوکلئیک اسید (به انگلیسی: Nucleic acid) به زنجیرههای طویل مولکولی دو یا یک رشته ای که از به هم پیوستن تعداد زیادی نوکلئوتید تشکیل شدهاست گفته میشود. اسیدهای نوکلئیک در همه جانداران یافت میشوند. اسیدهای نوکلئیک پلیمرهای خطی هستند؛ که از تکرار واحدهایی به نام نوکلئوتید تشکیل شدهاند. در واقع نوکلئوتیدها واحدهای مونومری(تک پار) اسیدهای نوکلئیک بهشمار میآیند؛ که دارای سه زیرواحد ساختمانی هستند: قند پنج کربنه پنتوز، باز هتروسیکلیک و گروه فسفات استر.

در ساختمان این اسیدها دو نوع قند پنتوز دیده میشود. قند موجود در آر ان ای از نوع ریبوز است. در صورتی که در ساختمان دی ان ای از قند مشابهی به نام دئوکسی ریبوز استفاده میشود. پیشوند دئوکسی نمایشگر فقدان یک o (اکسیژن)در جایگاه ۲ است. در دی ان ای و آر ان ای بازها از طریق پیوند بتاان گلیکوزیدی با برداشت یک مولکول آب از پنتوز (گروه هیدروکسیل) و باز (هیدروژن) تشکیل میگردند.

دو دسته از بازهای مهم و اصلی در این اسیدها پورینها و پیریمیدینها هستند.

پورینها شامل بازهای آدنین و گوانین هستند؛ که در آر ان ای و دی ان ای دیده میشوند. سیتوزین و یوراسیل وتیمین سه باز پیریمیدینی مهم هستند. سیتوزین در آر ان ای و دی ان ای وجود دارد؛ در حالی که یوراسیل تنها در آر ان ای و تیمین در دی ان ای یافت میشود. در موارد نادر ممکن است تیمین در آر ان ای و یوراسیل در دی ان ای نیزدیده شود.
نوکلئوزید و نوکلئوتید
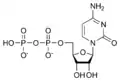
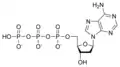
نوکلئوتیدها ساختارهایی متشکل از یک مولکول فسفات به علاوهٔ یک باز آلی (آدنین(A)، گوانین(G)، سیتوزین(C)، تیمین(T) و یوراسیل(U))و یک قند ۵ کربنه هستند. این قند ۵ کربنه، میتواند ریبوز یا دِئوکسی ریبوز باشد.
بازی که توسط قند پنج کربنه قند دار شده باشد نوکلئوزید نامیده میشود. نوکلئوزیدهای دارای ریبوز، ریبونوکلئوزید و آنهایی که دارای دئوکسی ریبوز هستند؛ دئوکسی ریبونوکلئوزید نامگذاری میشوند.
چهار نوکلئوزیدی که در ساختمان آر ان ای یافت میشوند؛ عبارتند از آدنوزین، گوانوزین، سیتیدین و یوریدین و چهار دئوکسی ریبونوکلئوزید موجود در پیکر دی ان ای عبارتند از دئوکسی آدنوزین دئوکسی گوانین، دئوکسی سیتیدین و دئوکسی تیمیدین.
نوکلئوتیدها استرهای فسفاته نوکلئوزیدها در کربن پنج قند هستند.
در داخل سلول (یاخته) علاوه بر اسیدهای نوکلئیک ساختارهای نوکلئوتیدی دیگری نیز وجود دارد؛ که گروههای فسفات آنها در موقعیتهایی غیر از کربن پنج قرار دارد. در این رابطه میتوان از پیامبرهای ثانویه مهم، آدنوزین ۳́-۵́- مونو فسفات حلقوی و گوانوزین ۳́-۵́- مونوفسفات حلقوی را که نقش مهمی در انتقال پیام و کنترل بیان ژنها دارند نام برد. علاوه بر این نوکلئوزیدها بیش از ۸۰ نوکلئوزید دیگر بهطور طبیعی در اسیدهای نوکلئیک وجود دارد. در دی ان ای این بازها اغلب شامل اشکال متیل دار، استیل دارو یوبی کوئینین دار هستند. در آر ان ای نیز هیپوزانتین و زانتین را میتوان اشاره کرد. سرعت واکنشهای اسیدهای نوکلئیک همانند همانند نوکلئوزیدها و نوکلئوتیدها میباشد. سرعت واکنش اغلب تحت تأثیر موقعیت زنجیره پلی نوکلئوتیدی و دو رشتهای یا تک رشتهای بودن نوکلئیک اسید میباشد.
انواع اسیدهای نوکلئیک
اسیدهای نوکلئیک دو نوع هستند: آرانای (RNA) و دیانای (DNA).
DNA
اسیدهای نوکلئیک DNA از نوکلئوتیدهای به هم پیوستهای تشکیل شدهاند که قند آنها از نوع دئوکسی ریبوز باشد. این نوع نوکلئوتیدها دارای بازهای آلی A,G،C,T میتوانند باشند؛ که در به هم پیوستن آنها بازهای A و Tپیوند دوگانه و بازهای G و C پیوند سه گانه هیدروژنی برقرار می کنند.
ساختار اسیدهای نوکلئیک
در ساختن کروموزوم به کار میروند و از قند دئوکسی ریبوز و باز نیتروژنه و یک فسفرمعدنی تشکیل شدهاند. نحوهٔ ساخته شدن اسیدهای نوکلئیک به گونه ای است که واحدهای پلی مری (نوکلئوتید) به صورت توالیهای پشت سر هم در میآیند. به این گونه که کربن شمارهٔ ۲ پنتوز به گروه فسفاتی نوکلئوتید دیگر متصل میشود. لازم است ذکر شود که در طی این اتصال دو گروه فسفاتی نوکلئوتیدها از ساختار جدا میشود و تنها یک گروه فسفات باقی مانده پلی بین نوکلئوتیدها میشود (به پیوند فسفاتی بین دو نوکلئوتید پیوند فسفو دی استر میگویند)
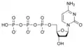
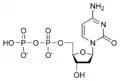
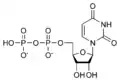
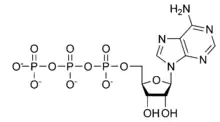
انواع نوکلئوتیدها
گوانوزین تری فسفات
گوانوزین دی فسفات
گوانوزین مونو فسفات
آدنوزین تری فسفات
آدنوزین دی فسفات
آدنوزین مونو فسفات
سیتوزین تری فسفات
سیتوزین دی فسفات
سیتوزین مونو فسفات
یوریدین تری فسفات
یوریدین دی فسفات
یوریدین مونو فسفات
دئوکسی نوکلئوتیدها
دئوکسی گوانوزین تری فسفات
دئوکسی گوانوزین دی فسفات
دئوکسی گوانوزین مونو فسفات
دئوکسی آدنوزین تری فسفات
دئوکسی آدنوزین دی فسفات
دئوکسی آدنوزین مونو فسفات
دئوکسی تیمیدین تری فسفات
دئوکسی تیمیدین دی فسفات
دئوکسی تیمیدین مونو فسفات


نوکلئوزیدها
گوانوزین
آدنوزین
تیمیدین
یوریدین
صورت بندی
ویژگی مهم نوکلئوزیدها و نوکلئوتیدها تعدادصورت بندیهای آن هاست. بر خلاف حلقههای شش عضوی که سدهای زیادی برای تغییر صورت بندی دارند؛ حلقههای پنج عضوی بسیار انعطاف پذیرند. از آن جایی که الگوی استخلافی حلقه پنتوز در نوکلئوزیدها متقارن نمیباشد دو صورت بندی برای آنها در نظر گرفته شدهاست. این دو حالت از چروکیدگی قند با تغییر جایگاه کربنهای ۲́و ۳́ در بالای سطح اتمهای کربنهای ́۱ و́۴ و اکسیژن ۴́ مشخص میشوند. بر طبق قرارداد بالا جهتی است که در آن باز و کربن ۵ از حلقه بیرون زده و این سطح یا وجه در ساختار پنتوز «اندو(endo)» نامیده میشود. اگر کربن́۲ در بالای حبقه پنتوز قرار گرفته باشد؛ به آن «-۲́اندو» گویند؛ که آرایش مولکول شبیه حرف S است و اگر کربن ۳ به سمت سطح اندو باشد به آن «́۳-آندو» میگویند؛ که در این حالت آرایش مولکول شبیه حرف Nاست. علاوه بر این، به سبب فشارهای فضایی، پورینها در نوکلئوتیدهای پورینی نسبت به داکسی ریبوز به دو صورت بندی پایدار به نامهای آنتی و سین محدود میشوند. در صورت بندی آنتی پورینها هیدروژن شمارهٔ ۶ باز بالای حلقه پنتوز و در صورت بندی سین اتم اکسیژن شمارهٔ ۲ در بالای حلقه پنتوز قرار دارد. بنابراین در پیریمیدینها صورت بندی آنتی به دلیل کاهش ممانعت فضایی برگزیده تر است. در پورینها دو صورت بندی سین و آنتی به سرعت به یکدیگر تبدیل میشوند، اما صورت بندی آنتی به دلیلی مشابه با پیریمیدینها پایدارتر است.
منابع
- ژنتیک مولکولی پیشرفته ۱. گردآوری دکتر مجید متولی باشی، دکتر زهره حجتی، احسان حبیبی. ناشر دانشگاه اصفهان. چاپ اول، زمستان ۱۳۷۸
- ویرایش امیرحسین محمدآبادی دکتر امیررضا شکری
jamesD.mAUSETH
- Biologie moléculaire de la cellule, by Bruce Alberts, Flammarion, 4th edition, ۲۰۰۴
